色の用語いろいろ
05CIE DE2000色差式
CIE DE2000色差式
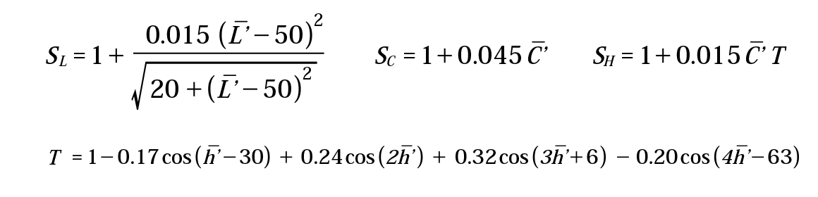
「新しい色差式(CIE DE2000)について。」に説明がありますが、L*a*b*色空間の弱点である測定結果と視感評価との相違を補正した最も新しい色差式です。明度差ΔL*、彩度差ΔC*、色相差ΔH*をもとに、重価係数(SL、SC、SH)やパラメトリック係数と呼ばれる定数(kL、kC、kH)などの補正を加え、以下のように算出します。
重価係数の値は、以下の式での算出が定義されています。
また、RT(ローテーション関数)の値は、以下の式での算出が定義されています。
- 注1:記号の上にバーの付加している値は、2色の色差対の平均値を表します。
- 注2:パラメトリック係数kL,kC, kHは、試験条件によって異なり、標準条件下では、全て1に設定します。
色色雑学 コンテンツ
-
色色雑学 TOP
-
01
色の見え方と表現方法
-
02
測色計で色を数値化
-
03
測色計の基礎知識
-
04
測色計を選ぶための基礎知識と測定事例
01色の見え方と表現方法
02測色計で色を数値化
03測色計の基礎知識
04測色計を選ぶための基礎知識と測定事例


























