パルスオキシメータの生体に関する深堀解説
このページでは、パルスオキシメーターと血中酸素飽和度(SpO2)の関係性、ヘモグロビンの働きなどを解説しています。身体での酸素の動きについても解説しています。
血中酸素飽和度(SpO2)とは?
酸素と結合したヘモグロビンを酸素化(酸化)ヘモグロビン(HbO2)、酸素と結合していないヘモグロビンを脱酸素化(還元)ヘモグロビン(Hb)と呼びます。
血中酸素飽和度(SpO2)とは血液中のヘモグロビンのうちどれだけが酸素と結びついているかを示すもので、下記の数式で定義されています。

ヘモグロビンには酸素分子が4個までつきますので、 酸素化ヘモグロビンといっても酸素が1個、2個、3個、4個の組み合わせがあります。しかし、ヘモグロビンにとっては、酸素がついていない状態、あるいは酸素が4個ともついている状態が安定しており、1個、2個、3個しかついていない状態は非常に不安定です。そのため実際には、酸素が一つもついていない脱酸素化ヘモグロビンの状態か、酸素が4個ともついている酸素化ヘモグロビン状態となります。
また、酸素飽和度は測定する方式により、動脈血酸素飽和度(SaO2) と経皮的酸素飽和度(SpO2) があります。
SaO2 は動脈血ガス分析装置に組み込まれたCOオキシメータで、血液中の酸素化ヘモグロビンと脱酸素化ヘモグロビンの量を直接測定します。動脈血中の酸素飽和度を正確に評価できますが、侵襲的な測定方法で、連続的な測定ができません。
血中酸素飽和度(SpO2)はパルスオキシメータによる非侵襲的な測定で、光吸収の変化を利用してSaO₂を推定したものです。測定の正確性はSaO₂との比較で確認します。SaO2よりも正確性は落ちますが、測定の正確性をSaO2との比較で確認し、臨床的に十分な性能にあることを証明して初めて、医療機器として認証されます。
測定が非常に簡便で連続測定が可能なため、呼吸状態の監視や酸素飽和度のおおよその確認などで、動脈血酸素飽和度測定には血中酸素飽和度(SpO2)が広く使われています。
血中酸素飽和度(SpO2)で何がわかるの?
大気に含まれた酸素は呼吸によって肺に吸い込まれます。肺は約3億個の小さな肺胞からできており、肺胞は毛細血管に取り囲まれています。肺胞壁や毛細血管壁は大変薄い構造のために、肺胞に入った酸素は瞬時に肺胞から毛細血管内へと移行します(成人では安静時に約0.25秒)。
血管内に拡散した酸素の多くは赤血球内のヘモグロビンと結合し、ごく僅かな酸素は血漿に溶解します。
酸素を多く含んだ血液(動脈血)は肺静脈から心臓の左房・左室を経て、全身の各臓器に運ばれ、各臓器の細胞に供給されます。
輸送される酸素量は、主にヘモグロビンと酸素の結合の程度(肺の因子)・ヘモグロビン濃度(貧血の因子)・心拍出量(心臓の因子)の3つで決定されます。
■酸素飽和度の測定とその重要性
血中酸素飽和度(SpO2)は、体に供給される酸素量を示す重要な指標です。特に肺の機能と関連して、体に十分な酸素が供給されているかどうかを判断するために使用されます。酸素飽和度は、通常95~100%が正常範囲とされており、これが低下すると、酸素不足(低酸素症)のリスクが高まります。
■心拍出量と脈拍の関係
パルスオキシメータは血中酸素飽和度(SpO2)だけでなく、同時に脈拍数も測定できます。
心臓が体に送っている血液の量(心拍出量)は1回の心拍で拍出される血液の量と、心拍数≒脈拍数により決定されます。心臓のポンプ機能が弱まり1回の心拍出量が減少した場合、十分な血流を確保するために心拍数を上げるという反応が起きます。脈拍数を測定することで、心臓のポンプ機能の一部を推測することができるわけです。
パルスオキシメータは、酸素飽和度と同時に脈拍も測定できるため、肺と心臓(血液循環)の両方の機能の指標として役立ちます。
酸素は身体をどのように流れるの?

人が生命を維持するためには酸素が必要です。空気中の酸素は、呼吸によって肺に取り込まれ、肺の毛細血管を経由して心臓から拍出され、全身に運ばれます。
酸素が肺内に入り、炭酸ガス(二酸化炭素)が肺から大気中へ排出される過程を換気と呼びます。
吸入された空気は上気道から末梢気道を通り肺へと分配されていきますが、これを分布と呼びます。
肺は肺胞と呼ばれる組織が集まって形成されていますが、肺胞内から肺胞膜を介して肺毛細血管へ酸素が入り、また逆に炭酸ガスが肺毛細血管内から肺胞内に出て行く過程を拡散と呼びます。
酸素が血液中を運ばれる仕組みは?
血液の大きな役割のひとつが、酸素を肺から受け取って組織へと運び、組織からは二酸化炭素を受け取ってこれを肺に運ぶことです。
気体が液体中(血液中)に溶ける量はその気体の圧力(分圧)に比例します。また、気体の溶けやすさは気体ごとに違います。酸素は1mmHg につき血液100mlでは0.3ml溶けますが、これは二酸化炭素の溶けやすさの1/20にしか過ぎません。酸素が血液に溶ける能力だけでは充分な酸素を運搬することができません。そこで酸素の運搬役としてヘモグロビンが登場します。
ヘモグロビンは1分子当たり4つの酸素分子を結合する能力があります。ヘモグロビン1g には酸素 1.39mlが結合できます。血液100mlには約15gのヘモグロビンが存在していますので、血液 100mlで20.4mlの酸素がヘモグロビンに含まれることになります。

動脈血酸素分圧 PaO2 と血中酸素飽和度(SpO2)の関係はいつでも同じなの?
血液中に溶ける酸素の量は酸素分圧に比例しますが、ヘモグロビンに結合する酸素の量も酸素分圧が高くなれば増えていきます。酸素分圧を PO2と表記しますが、動脈血の酸素分圧を特に PaO2 と表記します。しかし、ヘモグロビンに結合する酸素の量は溶存酸素と異なり比例関係ではなく図にすると S字上の曲線を描きます。この図を酸素解離曲線と言います。
酸素解離曲線は「標準酸素解離曲線」と呼ばれるもので、体温37℃、pH7.4の条件のものです。条件が変わると右にずれたり左にずれたりします。この時、右に曲線がずれることを右方偏位、左に曲線がずれることを左方偏位といいます。
- 右方偏位:アシドーシス(血液が酸性に傾く状態)、体温上昇、二酸化炭素の増加によって引き起こされ、ヘモグロビンが酸素を放出しやすくなり、組織への酸素供給が増えます。
- 左方偏位は、アルカローシス(血液がアルカリ性に傾く状態)、体温低下、二酸化炭素の減少によって引き起こされ、ヘモグロビンが酸素を放出しにくくなり、組織への酸素供給が減少します。
このような変化を「ボーア効果」といいます。ボーア効果によって、酸素を必要とする組織が多く酸素を受け取れるようになります。例えば、運動している筋肉では代謝により二酸化炭素が増え、pHが下がるため、ヘモグロビンが酸素をより多く放出します。

具体的には左図の酸素解離曲線を用いて紹介します。
pH低下のアシドーシス状態曲線ですと PaO2 80 mmHgで酸素飽和度80%となります。これでは十分にに酸素が運搬できないと思われますが、毛細血管部分40mmHgでは酸素飽和度は 30%に下がります。すなわち組織には80%-30%=50%の酸素が放出されます。標準時では逆に 98%-75%=23%でしたので、正常な状態よりもずっと多くの酸素が供給されることになります。
動脈血酸素分圧 PaO2 と血中酸素飽和度(SpO2)の関係式
PaO2 とSpO2 の関係を正確に記載した公式は存在しませんが、おおよその関係を理解するための公式を紹介します。
■Severinghausの公式

S:SaO2
P:PaO2
「成人のヘモグロビン pH=7.4、37℃」
上記 Severinghausの公式は、特に中間範囲の PaO2 とSaO2の関係を正確に示していますが、高低域(60mmHg以下や99mmHg以上)においては乖離が生じます。高低域ではSeveringhaus式を補完する別の近似式も存在しています。
■PaO2 低域での補完近似式(Hillの式)
1. 低 PaO2 範囲(60mmHg以下)
低 PaO2 範囲では、酸素飽和度は急激に変化します。 PaO2 が40mmHg付近では、SpO2 は約75%程度です。この範囲では以下Hillの式があります。

( Pn50 )は酸素飽和度が50%のときの PaO2 (通常約26.8mmHg)、( n )はHill係数(通常約2.6)です。
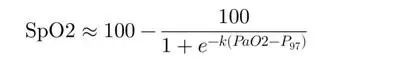
2. 高 PaO2 範囲(99%以上のSpO2 )
低 PaO2 範囲では、酸素飽和度は急激に変化します。 PaO2 が40mmHg付近では、SpO2 は約75%程度です。この範囲では以下Hillの式があります。

ここで、( k )は PaO2 に対する傾斜係数、( P97 )は97%飽和に対応する PaO2 です。
引用論文例
•Life in the Fast Lane (LITFL) - Oxygen-Hemoglobin Dissociation Curve
•Airway Jedi - What’s The Difference Between Oxygen Saturation And PaO2?
上記公式は、一般的な酸素解離曲線の形状と一致させるための近似式です。理論的なものであり、実際の臨床データとの正確な関係が保証されたものではありません。
PaO2 とSpO2 は本来別々ものを測定したものです。関係式を元にSpO2で PaO2 測定の代用をすることはできません。
PaO2 値が必要な時は、実際に血液ガス分析を実施ください。