アゾメチン色素中間体
活性メチレン化合物との反応により色再現性、光堅牢性に優れた色素を形成可能です。
活性メチレン化合物の選択により、色調を調整可能です。
活性メチレン化合物との反応により色再現性、光堅牢性に優れた色素を形成可能です。
活性メチレン化合物の選択により、色調を調整可能です。
色純度の高い吸収波形を有する色素が合成可能です。
(分子内に酸素原子又は窒素原子を持つ色素に対して)
下記化合物を添加する事でキレート色素を形成する事が可能になる。

また、このリガンドは重金属の捕捉剤としても利用可能で置換基のバリエーションは変更可能です。
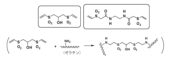
ゼラチン鎖上の置換基(アミノ基)と反応し、ゼラチンを網目構造にします。
(1)ビニルスルホン系硬膜剤

(2)トリアジン系硬膜剤
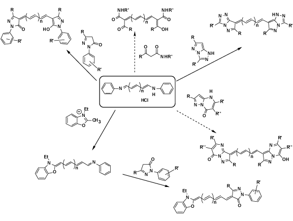
メチン鎖上の炭素数、パーツを選択することにより、さまざまな色調の色素を合成することが可能です。

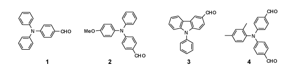
1、2、3のようなモノホルミル体に加え、4の様なジホルミル体もご提供可能です。

利用例
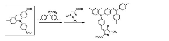
例1)有機レーザー材料向け中間体

例2)太陽電池用色素中間体

フタロシアニン中間体として重要なジイミノインドリン誘導体を製造可能
対応するフタロジニトリルからアンモニア法を用いてハロゲンフリーな中間体を製造する事が可能になりました。
| 種類 | 構造式 | 外観 | 不揮発分 | pH | 特長 | 用途 |
|---|---|---|---|---|---|---|
| スチレン・無水マレイン酸 | ![]() |
白色固形 | 80-90 | 有機溶剤に可溶 | ||
| スチレンマレイン酸水溶液 | ![]() |
水溶液 | 10-12 | 8-11 | 光沢、耐水性 | 増粘剤 |
| スチレン・無水マレイン酸 | ![]() |
水溶液 | 5-7 | 8-10 | 帯電防止 | 帯電防止接着 |
